Lidé si je mohou prohlédnout na stránkách praha.eu pomocí virtuální elektronické prohlídky ZDE, případně se dostavit v určeném termínu na fyzickou prohlídku. V případě zájmu se následně mohou přihlásit do prvního kola aukce.
„Elektronické aukce jsou nejtransparentnější způsob, jak nabídnout nájemní bydlení za odpovídající cenu každému, kdo má zájem o bydlení v hlavním městě. Městské byty musí sloužit potřebám všech skupin Pražanů. To považuji za nejdůležitější. Podobně důležité ale je efektivně využít byty, které nejsou vhodné pro specifické podporované skupiny obyvatel, jako jsou osoby v sociální tísni, senioři, zdravotně hendikepovaní či vybrané profese,“ zdůvodnila hlavní smysl elektronických aukcí náměstkyně primátora hl. m. Prahy pro oblast bytové politiky Alexandra Udženija.
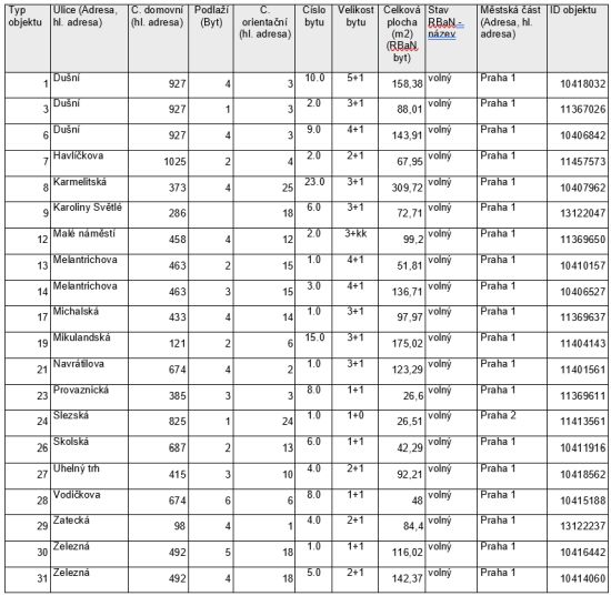
Do aukcí jsou připraveny byty různých velikostí, od garsonek až po 5+1. Všechny byty jsou situované v centru Prahy na atraktivních adresách, jako například Vodičkova ulice, Uhelný trh nebo Malé náměstí u Staroměstského náměstí. První kolo aukce je otevřeno do 6. listopadu 2025. Zájemci, kteří splní všechny základní podmínky, postoupí do druhého kola. Samotná aukce se uskuteční do pěti dnů od ukončení prvního kola aukce. Jednou ze základních podmínek je, že zájemce nesmí vlastnit žádnou nemovitost k bydlení.
Tento článek je uzamčen
Článek mohou odemknout uživatelé s odpovídajícím placeným předplatným, nebo přihlášení uživatelé za Prémiové body PLPřidejte si PL do svých oblíbených zdrojů na Google Zprávy. Děkujeme.




